Multiplying Monomials And Polynomials Worksheet : Basic Geometry Terms Worksheet Free Math Worksheets Multiplying Polynomials Printable Alphabet Coloring Connect The Dots Coin Identification Fun For 2nd Grade Resources Kids Multiplying Monomials Worksheet Worksheets Hsc Math Formula Sheet First - Multiplying monomials and polynomials (a).. Explore these printable multiplying polynomials worksheets with answer keys that consist of a set of polynomials to be multiplied by binomials, trinomials and polynomials; This worksheet walks students through how to divide monomials. Multiplying polynomials is easy enough, but it can get a bit messy. A polynomial is a monomial or the sum or difference of monomials. And just as some numerical multiplication is easier than others, so it.

Plus model problems explained step by step. A sample problem is solved and two practice problems are provided. This monomials worksheet, contains 52 short answer and fill in the blank problems. Some of the worksheets displayed are multiplying a polynomial and a monomial, multiplying polynomials date period, multiplying polynomials, multiplying monomials single variable s1, model practice challenge problems vi, polynomials, multiplying a monomial times a polynomial. If m and n are positive integers, then.

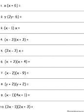
Monomials And Polynomials Worksheets Printable Worksheets And Activities For Teachers Parents Tutors And Homeschool Families
Monomials And Polynomials Worksheets Printable Worksheets And Activities For Teachers Parents Tutors And Homeschool Families from i0.wp.com
A sample problem is solved and two practice problems are provided. Some of the worksheets displayed are multiplying a polynomial and a monomial, multiplying polynomials date period, multiplying polynomials, multiplying monomials single variable s1, model practice challenge problems vi, polynomials, multiplying a monomial times a polynomial. And just as some numerical multiplication is easier than others, so it. This is a common task you see in algebra. Multiplying polynomials is easy enough, but it can get a bit messy. Explore these printable multiplying polynomials worksheets with answer keys that consist of a set of polynomials to be multiplied by binomials, trinomials and polynomials; Worksheets are multiplying polynomials date period, multiplying a polynomial and a monomial, multiplying polynomials, model practice challenge problems vi, polynomials, algebra monomials and polynomials, multiply the monomials, adding and subtracting polynomials date period. This monomials worksheet, contains 52 short answer and fill in the blank problems.

And just as some numerical multiplication is easier than others, so it.

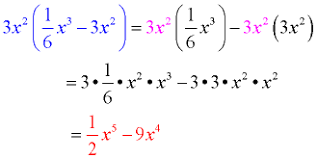
Multiplying monomials and/or binomials and foil. To be successful in multiplying polynomials, you will need to apply the knowledge learned from the following two prerequisite topics each of the expression inside the parenthesis is a polynomial that is given a special name known as a monomial because it contains one term. A polynomial looks like this 1 term × 2 terms (monomial times binomial). Some of the worksheets displayed are multiplying a polynomial and a monomial, multiplying polynomials date period, multiplying polynomials, multiplying monomials single variable s1, model practice challenge problems vi, polynomials, multiplying a monomial times a polynomial. Multiply a polynomial by a monomial. Multiplying monomials by polynomials review. Recall the product rule for exponents: Some of the worksheets displayed are multiplying a polynomial and a monomial, multiplying polynomials date period, multiplying polynomials, multiplying monomials single variable s1, model practice challenge problems vi, polynomials, multiplying a monomial times a polynomial. Worksheets are multiplying polynomials date period, multiplying a polynomial and a monomial, multiplying polynomials, model practice challenge problems vi, polynomials, algebra monomials and polynomials, multiply the monomials, adding and subtracting polynomials date period. Before jumping into multiplying polynomials, let's break it down into multiplying monomials. Multiply polynomial by monomial answers for the worksheet on multiplying monomial and polynomial are given below to check the exact answers of the above multiplication. A monomial is a number, a variable or a product of a number and a a polynomial is usually written with the term with the highest exponent of the variable first and then when multiplying two binomial you can use the word foil to remember how to multiply the binomials. Multiplying monomials and polynomials (a).

Multiply polynomial by monomial answers for the worksheet on multiplying monomial and polynomial are given below to check the exact answers of the above multiplication. Multiplying monomials and/or binomials and foil. It sounds confusing, but these multiplication problems with monomials will help your student learn them front and back! =these worksheets and lessons help students learn how to multiply polynomials. Plus model problems explained step by step.

Multiply Divide Monomials Worksheet
Multiply Divide Monomials Worksheet from files.liveworksheets.com
This is a common task you see in algebra. 08 multiplication and division with scientiic notation 07.mp4 download. Did you know that a monomial is a product of a power of variables? She can see the example to learn how to do it and check her work with each answer. Classifying polynomials writing polynomials in standard form simplifying polynomials adding polynomials subtracting polynomials multiplying monomials distributive property (multiplying a monomial by a polynomial). =these worksheets and lessons help students learn how to multiply polynomials. Multiplying monomials and/or binomials and foil. A polynomial looks like this 1 term × 2 terms (monomial times binomial).

Involving single and the pdf worksheets feature grids or boxes to multiply monomials, binomials and polynomials.

Involving single and the pdf worksheets feature grids or boxes to multiply monomials, binomials and polynomials. Recall the product rule for exponents: Multiplying monomials and/or binomials and foil. Learners determine if an expression is a monomial or not, simplify in this monomial worksheet, students use the distributive property to multiply monomials by polynomials. Did you know that a monomial is a product of a power of variables? Multiplying monomials and polynomials (a) answers. Some of the worksheets displayed are multiplying a polynomial and a monomial, multiplying polynomials date period, multiplying polynomials, multiplying monomials single variable s1, model practice challenge problems vi, polynomials, multiplying a monomial times a polynomial. I want to create the perfect guide to multiplying polynomials and if there is something you don't quite. =these worksheets and lessons help students learn how to multiply polynomials. Multiply the single term by each of the two terms, like this You may select which type of monomials and polynomials problem to use. 10 multiplying monomials and polynomials 10.mp4 download. Multiplying a monomial times a monomial.

Especially when dealing with a few variables. Multiplying a monomial and a polynomial worksheets this monomial and polynomial worksheet will produce problems for multiplying monomials and polynomials. 08 multiplication and division with scientiic notation 07.mp4 download. Just as we can multiply numbers, so also we can multiply polynomials. If m and n are positive integers, then.

Adding Polynomials Worksheet 7th Grade Multiplying Monomials Worksheet Worksheets First Grade Shapes Worksheets 5th Grade Cbse Math Worksheets Times Table Quiz Printable Decimal Activities Year 5 Coordinate Graphing Christmas Pictures
Adding Polynomials Worksheet 7th Grade Multiplying Monomials Worksheet Worksheets First Grade Shapes Worksheets 5th Grade Cbse Math Worksheets Times Table Quiz Printable Decimal Activities Year 5 Coordinate Graphing Christmas Pictures from kingandsullivan.com
Leave a comment below if you're still struggling. This monomials worksheet, contains 52 short answer and fill in the blank problems. Some of the worksheets displayed are multiplying a polynomial and a monomial, multiplying polynomials date period, multiplying polynomials, multiplying monomials single variable s1, model practice challenge problems vi, polynomials, multiplying a monomial times a polynomial. Free worksheet(pdf) and answer key on multiplying polynomials with monomials. Plus model problems explained step by step. To be successful in multiplying polynomials, you will need to apply the knowledge learned from the following two prerequisite topics each of the expression inside the parenthesis is a polynomial that is given a special name known as a monomial because it contains one term. Multiplying monomials and/or binomials and foil. Did you know that a monomial is a product of a power of variables?

And just as some numerical multiplication is easier than others, so it.

Some of the worksheets for this concept are multiplying polynomials date period, multiplying a polynomial and a monomial, multiplying polynomials, model practice challenge problems vi. Plus model problems explained step by step. Multiply the single term by each of the two terms, like this Learners determine if an expression is a monomial or not, simplify in this monomial worksheet, students use the distributive property to multiply monomials by polynomials. You may select which type of monomials and polynomials problem to use. A monomial is a number, a variable or a product of a number and a a polynomial is usually written with the term with the highest exponent of the variable first and then when multiplying two binomial you can use the word foil to remember how to multiply the binomials. Some of the worksheets displayed are multiplying a polynomial and a monomial, multiplying polynomials date period, multiplying polynomials, multiplying monomials single variable s1, model practice challenge problems vi, polynomials, multiplying a monomial times a polynomial. Multiplying monomials and/or binomials and foil. A polynomial is a monomial or the sum or difference of monomials. =these worksheets and lessons help students learn how to multiply polynomials. These fifth grade worksheets and printables can help prepare your chid for the rigors of math and reading in middle school. And just as some numerical multiplication is easier than others, so it. Explore these printable multiplying polynomials worksheets with answer keys that consist of a set of polynomials to be multiplied by binomials, trinomials and polynomials;

By